• 合作热线: 0571-85053379
  • 合作邮箱: 14633040@qq.com
您当前的位置 教育频道 > 教育聚焦
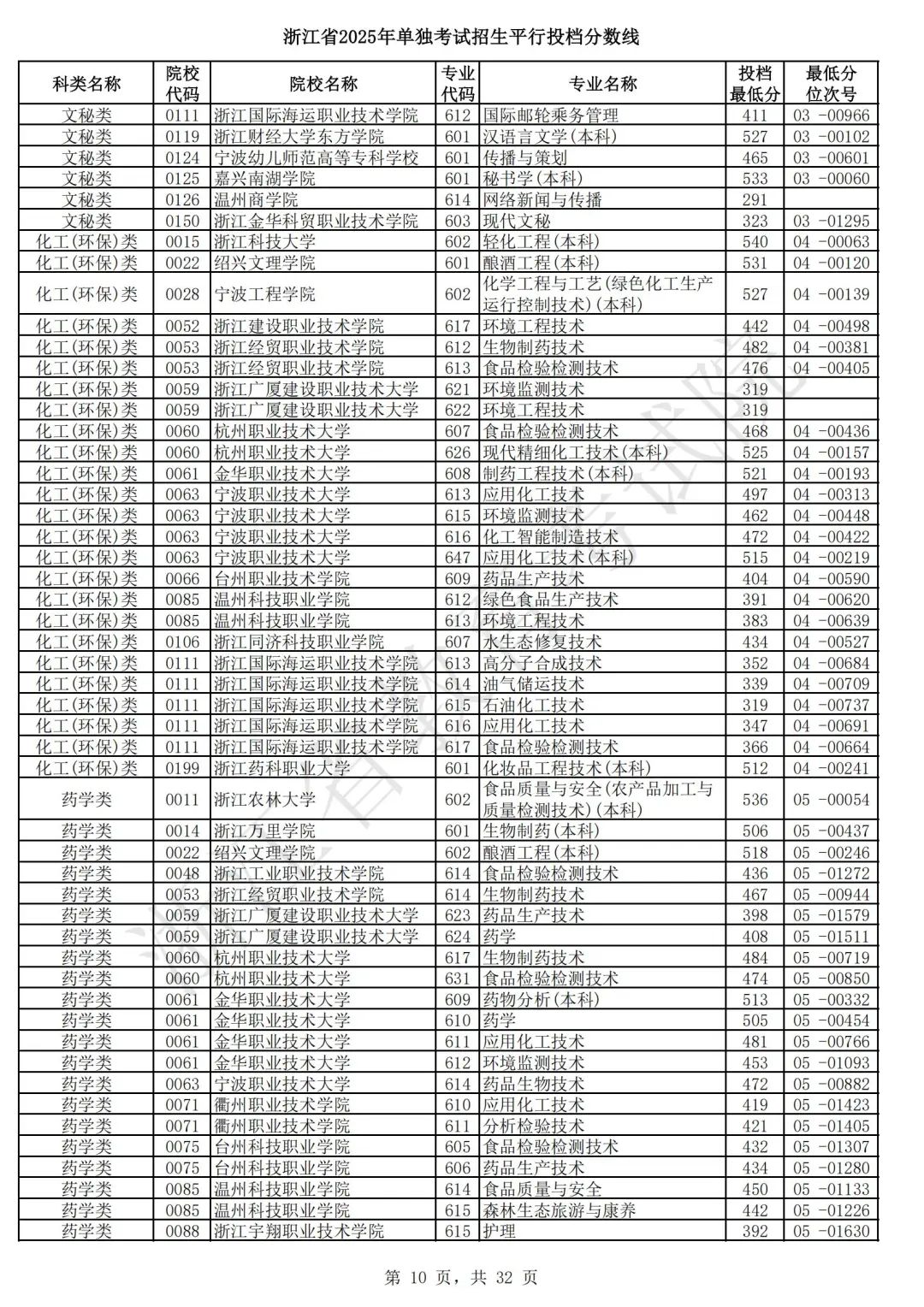
分数线发布!2025年单独考试招生平行志愿投档
发布时间:2025-07-07 10:55:18 星期一   浙江考试
来源:浙江考试    作者:    编辑:叶丽姣
浙江省2025年单独考试招生平行志愿于今天上午投档,各类别专业投档分数线和位次号出炉。考生可对照自己所填报的志愿,预估目前可能投档的高校和专业。